【力扣47】全排列II
题目
给定一个可包含重复数字的序列 nums ,按任意顺序 返回所有不重复的全排列。
示例 1:
1 | 输入:nums = [1,1,2] |
示例 2:
1 | 输入:nums = [1,2,3] |
提示:
1 <= nums.length <= 8-10 <= nums[i] <= 10
实现代码
使用DFS实现回溯算法 + 排序 + 剪枝
1 | class Solution { |
核心思路
这道题的关键在于去重,因为数组中可能包含重复元素,但最终结果不能有重复的组合。
解决方案:
- 排序:将相同的元素聚集在一起,便于去重处理
- 去重逻辑/剪枝优化:
if (i > 0 && nums[i] == nums[i - 1] && !used[i - 1]) continue;- 在同一层递归中,跳过重复的元素
- 但在不同层递归中,允许使用重复元素
这里有个很重要的点:为什么要判断!used[i - 1]?
之前做子集相关题的时候(见:力扣90),如果元素存在重复,并且要求结果不能包含重复的子集,只需判断i > n && nums[i] == nums[i - 1] 即可,但是为什么在排列问题中判断重复为什么还要加 !used[i - 1]?
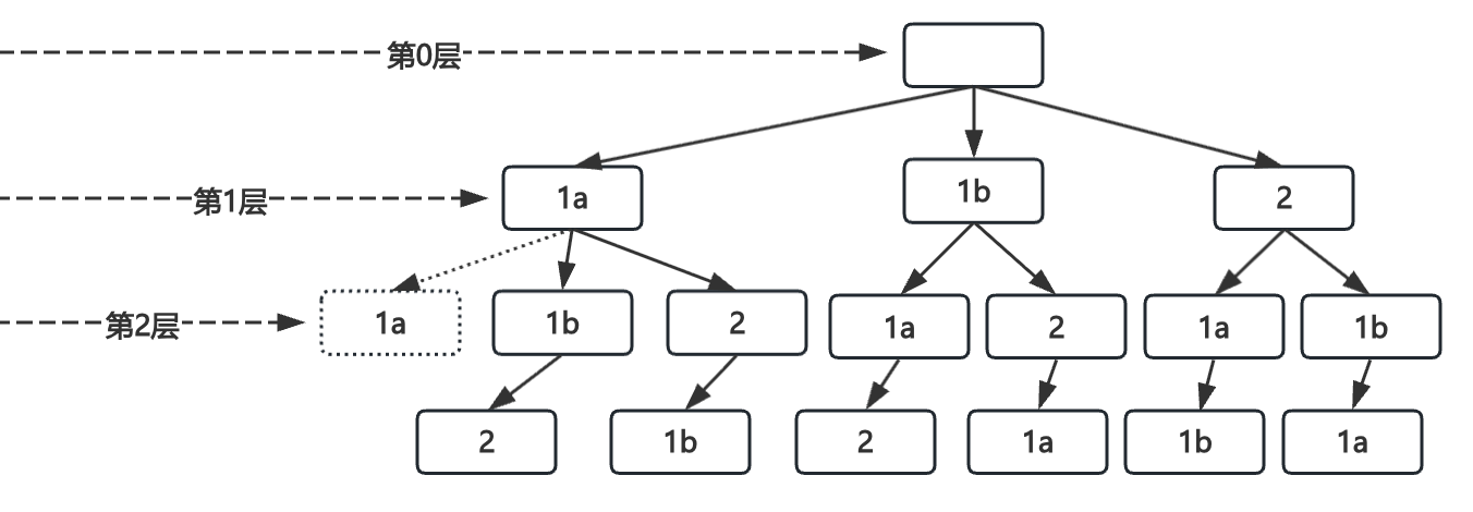
先看图(部分节点已省略,为了更好的讲解,只画了1a那一小部分):

上图是数组构建排序状态的树结构,假设存在数组nums = [1, 1, 2],其中第一个1和第二个1分别记为1a和1b,元素存在重复,并且结果不包含重复子集,只需要将元素排序后相邻的相同元素只处理一个即可,也就是通过i > 0 && nums[i] == nums[i - 1] 代码剪枝优化进行去重,但是,如果仅仅是这样,会存在一个问题:
先贴下代码:
1 | for (int i = 0; i < nums.length; i++) { |
比如:
当前处于第1层
开始处理子节点1a,状态如下:
- i = 0
- nums[0] = 1a
- used[0] = false
开始执行代码:
- 不符合
i > 0 && nums[i] == nums[i - 1]条件,跳过往下执行; - 不符合
if (used[i])条件,跳过往下执行; - 直到执行
backtrack(nums, used);,进入在一层;
进入第二层
同样开始处理子节点1a,状态如下:
- i = 0
- nums[0] = 1a
- used[0] = true
开始执行代码:
- 不符合
i > 0 && nums[i] == nums[i - 1]条件,跳过往下执行; - 符合
if (used[i])条件,直接continue;
开始处理子节点1b,当前状态如下:
- i = 1
- nums[1] = 1b
- used[1] = false
开始执行代码:
- 因为
num[1] == num[0],符合i > 0 && nums[i] == nums[i - 1]条件,直接continue;
问题就在这出现了,正常是不应跳过1b的,那么为什么会这样呢?
问题点在于做i > 0 && nums[i] == nums[i - 1]判断的时候,把已经使用的1a也考虑进去了,1a已经在上层用过了,对应的used[0] = true,所以需要再加一个条件!used[i - 1],也就是在处理1b的时候,进行i > 0 && nums[i] == nums[i - 1]校验时需要考虑左边这个是不是父节点值,如果是就不能跳过;
时间复杂度
在最坏情况下,需要遍历所有可能的排列。对于长度为n的数组,如果不考虑重复元素,全排列的数量为n!。由于数组中可能包含重复元素,实际的不重复排列数量会少于或等于n!。
- 状态空间:不重复的排列数量,记为
P(P ≤ n!) - 实际剪枝效果:
- 排序后的去重剪枝:当
if (i > 0 && nums[i] == nums[i - 1] && !used[i - 1])时直接continue,避免重复状态的尝试,大大减少了搜索空间;
- 排序后的去重剪枝:当
- 每个有效状态的处理时间:复制当前路径到结果集,时间复杂度为
O(n),
因此,总的时间复杂度为O(n × P),其中P是不重复排列的数量。
空间复杂度
主要的额外空间消耗来自:
traceList:存储所有符合条件的排列,假设不重复排列的数量为P,每个排列长度为n,则空间复杂度为O(n × P)。trace:递归过程中存储当前路径,最大深度为n,空间复杂度为O(n)used数组:记录每个元素是否被使用,空间复杂度为O(n)- 递归调用栈:最大深度为
n,空间复杂度为O(n)
因此,如果不计算输出结果的存储空间,额外空间复杂度为O(n)。包含输出结果时为O(n × P),其中P是不重复排列的数量。


















































