【力扣78】子集
题目
给你一个整数数组 nums ,数组中的元素 互不相同 。返回该数组所有可能的子集(幂集)。
解集 不能 包含重复的子集。你可以按 任意顺序 返回解集。
示例 1:
1 | 输入:nums = [1,2,3] |
示例 2:
1 | 输入:nums = [0] |
提示:
1 <= nums.length <= 10-10 <= nums[i] <= 10nums中的所有元素 互不相同
实现代码
使用DFS实现回溯算法
1 | class Solution { |
思路讲解
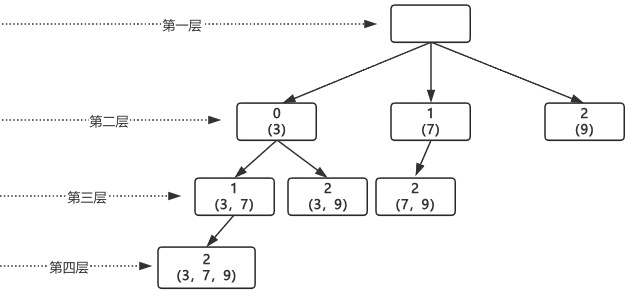
假设数组为[3, 7, 9],那么所有的子集为[[], [3], [7], [9], [3,7], [3,9], [7,9], [3,7,9]],构建为一棵树如下:

通过上图可知规律,每往下走一层,其子节点都是当前节点索引值后面的索引值。比如:
- 第二层索引值
0的节点,其子节点就是索引1、2 - 第三层索引值
1的节点,其子节点就是索引2 - 第二层索引值
2的节点,因为数组最大索引值为2,所以后面没有元素,没有子节点
这样设计的目的是避免重复:确保每个子集只会被生成一次,例如[3,7]和[7,3]被认为是同一个子集。
在代码实现时,每个节点进入下一层时将当前索引值加1传递下去,即backtrack(nums, i + 1)。
时间复杂度
假设数组元素数量为n,那么子集的数量就为2^n,再看每个节点的处理情况,tranceList.add(new LinkedList<>(trance));,每次都需要将trance所有的元素复制给一个新链表集合,时间复杂度为n,所以总时间复杂度为O(n*2^n);
空间复杂度
主要的额外空间消耗来自:
result:存储所有子集,共有2^n个子集,每个子集平均长度为n/2,所以空间复杂度为O(n*2^n)path:递归过程中存储当前路径,最大深度为n,空间复杂度为O(n)- 递归调用栈:最大深度为
n,空间复杂度为O(n)
因此总的空间复杂度为O(n*2^n)
本博客所有文章除特别声明外,均采用 CC BY-NC-SA 4.0 许可协议。转载请注明来源 青柠!
评论


















































