【力扣144】二叉树的前序遍历
题目
给你二叉树的根节点 root ,返回它节点值的 前序 遍历。
示例 1:
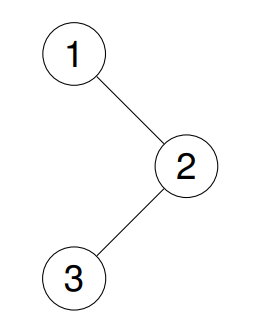
**输入:**root = [1,null,2,3]
输出:[1,2,3]
解释:

示例 2:
**输入:**root = [1,2,3,4,5,null,8,null,null,6,7,9]
输出:[1,2,4,5,6,7,3,8,9]
解释:

示例 3:
**输入:**root = []
输出:[]
示例 4:
**输入:**root = [1]
输出:[1]
提示:
- 树中节点数目在范围
[0, 100]内 -100 <= Node.val <= 100
实现代码
通过二叉树的递归遍历(DFS)实现
1 | /** |
时间复杂度
因为会走完所有节点,所以为O(N)
空间复杂度
递归遍历所占的额外空间就是占用的栈帧内存,取决于数的高度h,平均情况下是O(logN),最坏情况下数呈现链状,为O(N),所以空间复杂度是O(h)
本博客所有文章除特别声明外,均采用 CC BY-NC-SA 4.0 许可协议。转载请注明来源 青柠!
评论


















































